Tuân thủ các tiêu chuẩn kỹ thuật về đo đạc độ sâu là yếu tố then chốt để đảm bảo độ chính xác và độ tin cậy của dữ liệu. Một trong những tiêu chuẩn được công nhận và sử dụng rộng rãi nhất hiện nay là IHO S-44 do Tổ chức Thủy đạc Quốc tế (International Hydrographic Organization) ban hành. Bài viết này sẽ giúp bạn hiểu rõ hơn về các tiêu chuẩn kỹ thuật về đo đạc độ sâu trong S-44.
Tổng quan về IHO S-44
IHO S-44 là ấn phẩm xác định các tiêu chuẩn áp dụng cho khảo sát thủy đạc, và nằm trong bộ ấn phẩm của Tổ chức Thủy đạc Quốc tế (IHO) nhằm cải thiện an toàn hàng hải, kiến thức và bảo vệ môi trường biển.

Tổ chức Thủy đạc Quốc tế (IHO) là đơn vị ban hành ấn phẩm tiêu chuẩn kỹ thuật về đo đạc độ sâu IHO S-44.
Ấn phẩm IHO S-44 này cung cấp bộ tiêu chuẩn kỹ thuật áp dụng cho khảo sát thủy đạc, chủ yếu nhằm phục vụ việc đo đạc độ sâu, xây dựng bản đồ hàng hải đảm bảo an toàn hàng hải, hiểu biết địa hình đáy biển và bảo vệ môi trường biển.
Nội dung trong ấn phẩm nêu rõ các yêu cầu tối thiểu cần đạt được, tùy thuộc vào mục đích sử dụng dữ liệu khảo sát. Cùng với đó, IHO khuyến nghị các cơ quan chuyên môn tại mỗi quốc gia có thể bổ sung các tiêu chuẩn nghiêm ngặt hơn theo bối cảnh của địa phương.
Các cuộc thảo luận chính thức về việc xây dựng chuẩn khảo sát thủy đạc bắt đầu từ Hội nghị Thủy đạc Quốc tế lần thứ 7 năm 1957. Phiên bản đầu tiên của S-44 mang tên “Các tiêu chuẩn chính xác đề xuất cho khảo sát thủy đạc” được công bố vào tháng 1 năm 1968. Từ đó, IHO đã liên tục cập nhật tiêu chuẩn này để phù hợp với sự phát triển của công nghệ và phương pháp khảo sát hiện đại.
Hiện tại, ấn phẩm IHO S-44 phiên bản 6.1.0 là bản mới nhất được phát hành tháng 10 năm 2022, là kết quả của quá trình rà soát toàn diện do Nhóm Công tác Khảo sát Thủy đạc (HSWG) thực hiện, với sự tham gia của các quốc gia thành viên IHO, các tổ chức quốc tế như IFHS, FIG và các chuyên gia trong lĩnh vực thủy đạc.
Các tiêu chuẩn kỹ thuật về đo đạc độ sâu theo IHO S-44
Phân loại khảo sát thủy đạc giúp xác định các thông số kỹ thuật phù hợp với mục đích sử dụng dữ liệu, đặc biệt là đảm bảo an toàn hàng hải. Theo S-44, IHO xác định 5 loại khảo sát theo mức độ yêu cầu kỹ thuật từ cao đến thấp:
- Đặc biệt (Special Order): Áp dụng cho khu vực có mật độ tàu cao như cảng, luồng hẹp, khu neo đậu.
- Cấp 1a: Khu vực ven bờ có lưu lượng tàu cao, cần dữ liệu độ sâu chi tiết.
- Cấp 1b: Vùng biển có mật độ tàu trung bình hoặc cần khảo sát chi tiết hơn cấp 2.
- Cấp 2: Dành cho vùng biển xa bờ, ít tàu qua lại.
- Đặc biệt nâng cao: Tùy theo mục tiêu khảo sát như xây dựng, môi trường, dầu khí
Việc phân loại khảo sát trong tiêu chuẩn IHO S-44 giúp xác định mức độ kỹ thuật cần thiết tương ứng với rủi ro hàng hải tại từng khu vực. Mỗi cấp khảo sát (từ đặc biệt đến cấp 2) ứng với yêu cầu khác nhau về độ chính xác, độ phủ đáy, và phát hiện vật thể. Phân loại này nhằm đảm bảo an toàn hàng hải, tối ưu chi phí khảo sát và hướng dẫn chọn thiết bị, phương pháp phù hợp với từng mục tiêu cụ thể.

Tiêu chuẩn kỹ thuật về đo đạc độ sâu được phân chia thành các loại khảo sát để xác định mức độ kỹ thuật cần thiết tương ứng với rủi ro hàng hải tại từng khu vực.
– Tiêu chuẩn kỹ thuật đo đạc độ sâu: Độ sâu tối thiểu để đảm bảo an toàn hàng hải
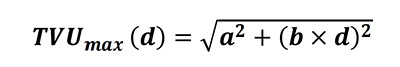
Tiêu chuẩn kỹ thuật đo đạc độ sâu phải đáp ứng mức độ sai số tối đa cho phép đối với từng loại khảo sát, với mức tin cậy 95%. Sai số tổng thể (TVU – Total Vertical Uncertainty) được xác định theo công thức:
Trong đó:
- d là độ sâu đo được
- a là thành phần sai số cố định (hệ thống thiết bị, cảm biến)
- b là hệ số liên quan đến độ sâu (sai số tỷ lệ theo độ sâu)
| Tiêu chí | Cấp 2 | Cấp 1b | Cấp 1a | Cấp đặc biệt | Cấp Đặc biệt nâng cao |
| Mô tả khu vực (Khái quát) | Các khu vực mà mô tả đáy biển tổng quan là đủ | Khu vực mà khoảng cách đáy tàu không gây rủi ro cho loại tàu dự kiến hoạt động | Khu vực có thể có vật thể ảnh hưởng đến tàu mặt nước, nhưng không nghiêm trọng | Khu vực có yêu cầu cao về khoảng cách đáy tàu | Khu vực có yêu cầu tối thiểu nghiêm ngặt về khoảng cách đáy tàu và khả năng điều động |
| Độ sâu THU (m + % độ sâu) | 20 mét + 10% độ sâu | 5 mét + 5% độ sâu | 5 m + 5% độ sâu | 2 mét | 1 mét |
| Độ sâu TVU (a, b) | a = 1.0 mb = 0.023 | a = 0.5 mb = 0.013 | a = 0.5 mb = 0.013 | a = 0.25 mb = 0.0075 | a = 0.15 mb = 0.0075 |
| Phát hiện vật thể (m hoặc % độ sâu) | Không quy định | Không quy định | Vật thể dạng khối > 2 m (độ sâu đến 40m); 10% độ sâu nếu > 40 m | Vật thể dạng khối > 1 m | Vật thể dạng khối > 0.5 m |
| Tìm kiếm vật thể (% diện tích khảo sát) | Khuyến nghị, không bắt buộc | Khuyến nghị, không bắt buộc | 100% | 100% | 200% |
| Phủ đo bathymetry (%) | 5% | 5% | ≤ 100% | 100% | 200% |
– Tiêu chuẩn kỹ thuật về đo đạc độ sâu về đo đạc độ sâu: Khảo sát trên mức thủy chuẩn, mực nước và dòng chảy tối thiểu để đảm bảo an toàn hàng hải
Các tiêu chuẩn kỹ thuật về đo đạc độ sâu này áp dụng khi các dạng dữ liệu tương ứng được yêu cầu trong khảo sát.
- Đơn vị: m = mét. Tất cả các giá trị độ không chắc chắn đều tính theo độ tin cậy 95%.
- THU (Total Horizontal Uncertainty): Sai số tổng hợp phương ngang
- TVU (Total Vertical Uncertainty): Sai số tổng hợp phương đứng
- knots: đơn vị vận tốc (1 knot = 1 hải lý/giờ ≈ 1.852 km/h)
| Tiêu chí | Thành phần độ không chắc chắn | Cấp 2 | Cấp 1b | Cấp 1a | Cấp đặc biệt | Cấp đặc biệt nâng cao |
| Vật thể cố định, báo hiệu hàng hải, đối tượng phía trên mốc thủy chuẩn có ảnh hưởng đến hàng hải | THU (m) | 5 mét | 2 mét | 2 mét | 2 mét | 1 mét |
| TVU (m) | 2 mét | 2 mét | 1 mét | 0.5 mét | 0.25 mét | |
| Vật thể nổi và báo hiệu hàng hải nổi | THU (m) | 20 mét | 10 mét | 10 mét | 10 mét | 5 mét |
| Đường bờ biển (bờ cao/thấp, mực nước trung bình…) | THU (m) | 10 mét | 10 mét | 10 mét | 10 mét | 5 mét |
| Đối tượng phía trên mốc thủy chuẩn ít ảnh hưởng đến hàng hải | THU (m) | 20 mét | 20 mét | 20 mét | 10 mét | 5 mét |
| TVU (m) | 3 mét | 2 mét | 1 mét | 0.5 mét | 0.3 mét | |
| Khoảng không phía trên | THU (m) | 10 mét | 10 mét | 5 mét | 2 mét | 1 mét |
| TVU (m) | 3 mét | 2 mét | 1 mét | 0.5 mét | 0.3 mét | |
| Đo góc phương vị | độ | – | – | – | 0.5° | – |
| Hướng dòng chảy | độ | – | – | – | 10° | – |
| Vận tốc dòng chảy | hải lý/giờ | – | – | – | 0.1 knots | – |
Việc nắm vững và áp dụng đúng các tiêu chuẩn kỹ thuật về đo đạc độ sâu trong IHO S-44 không chỉ giúp đảm bảo chất lượng dữ liệu khảo sát mà còn góp phần nâng cao hiệu quả vận hành, quản lý và khai thác các dự án hàng hải. Dù là cơ quan nhà nước, tổ chức nghiên cứu hay doanh nghiệp tư nhân, tuân thủ tiêu chuẩn S-44 là bước đi cần thiết để phát triển lĩnh vực đo đạc biển.
Nếu còn bất kỳ thắc mắc nào về tiêu chuẩn kỹ thuật về đo đạc độ sâu, cũng như các thiết bị cần thiết trong công việc này, hãy liên hệ ngay đến Đất Hợp qua HOTLINE 0903 825 125 để được hỗ trợ và tư vấn nhanh chóng nhất!
>>> Xem thêm: Tiêu chuẩn đào tạo khảo sát thủy văn “Cat A” và “Cat B”
